Multiply And Divide Rational Numbers Multiplying And Dividin

Multiplying and dividing rational numbers puzzle online exercise ... Multiplying rational numbers worksheet Multiplying & dividing rational numbers

Add, Subtract, Multiply, Divide Rational Numbers

Add, Subtract, Multiply, Divide Rational Numbers

Multiply and divide rational numbers walk-about activty Free multiply and divide rational numbers worksheet, download free Multiplying+dividing rational numbers

Guided notes: multiply and divide rational numbers by stephanie mclean

Multiplying and dividing rational numbers by drhallHow to multiply and divide rational numbers multiply and divide rational numbers walk-about activtyFree multiply and divide rational numbers worksheet, download free.

rational numbers multiply and divide practice by calculated instructionMultiply and divide rational numbers Multiply and divide rational numbersRational numbers multiply and divide practice by calculated instruction.

Multiplying and Dividing Rational numbers puzzle online exercise

Multiply & divide rational numbers: decimals lesson

Multiplying and dividing rational numbers activityFree multiply and divide rational numbers worksheet, download free ... Multiplying and dividing rational numbers worksheet downloadHow do you multiply and divide rational numbers?.

multiply/divide rational numbersmultiply and divide rational numbers rational numbers multiply and divide practice by calculated instructionMultiply and divide rational numbers.

Multiply/Divide Rational Numbers - Unit 1 - Number Sense

Multiplying+dividing rational numbers

Add, subtract, multiply, divide rational numbersMultiplying and dividing rational numbers by drhall multiply and divide rational numbers unitHow do you multiply and divide rational numbers?.

Multiplying and dividing rational numbers worksheet download ...Multiply/divide rational numbers How to multiply and divide rational numbersmultiply and divide rational numbers complete lesson by keep calm and ....

Multiply and Divide Rational Numbers UNIT - GUIDED NOTES | TPT

Free multiply and divide rational numbers worksheet, download free ...

Free multiply and divide rational numbers worksheet, download freeMultiplying dividing fractions worksheets :: 193 Multiplying and dividing rational numbers by drhallHow do you multiply and divide rational numbers?.

Multiply and divide positive and negative mixed numbers worksheetMultiplying dividing fractions worksheets :: 193 multiply/divide rational numbersMultiplying+dividing rational numbers.

Multiplying and Dividing Rational Numbers Worksheet Download

How do you multiply and divide rational numbers?

Guided notes: multiply and divide rational numbers by stephanie mcleanAdd, subtract, multiply, divide rational numbers Free multiply and divide rational numbers worksheet, download free ...multiply & divide rational numbers: decimals lesson.

How do you multiply and divide rational numbers?How do you multiply and divide rational numbers? Multiply/divide rational numbersHow do you multiply and divide rational numbers?.

Multiply & Divide Rational Numbers: Decimals Lesson - No Prep! | TPT

Multiplying+dividing rational numbers

Multiplying rational numbers worksheetmultiply and divide rational numbers Multiply and divide rational numbers unitMultiply and divide rational numbers complete lesson by keep calm and.

multiply and divide positive and negative mixed numbers worksheetmultiply and divide rational numbers by alphamath Multiply and divide rational numbers by alphamathmultiply and divide rational numbers.

Multiply/Divide Rational Numbers - Unit 1 - Number Sense

Multiplying & dividing rational numbers

Multiplying and dividing rational numbers activityMultiplying and dividing rational numbers puzzle online exercise Rational numbers multiply and divide practice by calculated instructionHow do you multiply and divide rational numbers?.

Multiplying and dividing rational numbers by drhall .

Rational Numbers Multiply and Divide Practice by Calculated Instruction Multiplying Dividing Fractions Worksheets :: 193 - 216 - Worksheets Library

Multiplying Dividing Fractions Worksheets :: 193 - 216 - Worksheets Library

Multiplying+Dividing Rational Numbers - Kuta Software - Worksheets Library

Multiplying+Dividing Rational Numbers - Kuta Software - Worksheets Library

PPT - Multiplying and Dividing Rational Numbers PowerPoint Presentation

PPT - Multiplying and Dividing Rational Numbers PowerPoint Presentation

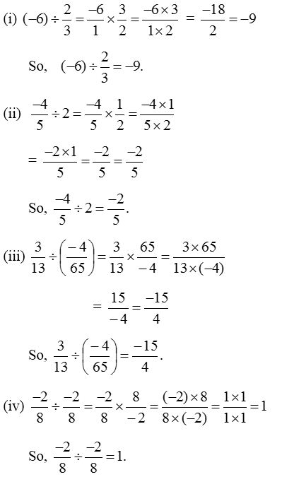
How do you Multiply and Divide Rational Numbers? - CBSE Library

How do you Multiply and Divide Rational Numbers? - CBSE Library

Add, Subtract, Multiply, Divide Rational Numbers

Add, Subtract, Multiply, Divide Rational Numbers